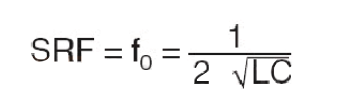
自諧振頻率(SRF: Self-Resonant Frequency)的定義

電感值(inductance)、電感感抗(impedance) 與頻率的關系
以100nH繞線電感為例,如下圖所示:

由上圖可知:
1、 當頻率低于自諧振頻率(SRF)時,電感感抗隨頻率增加而增加;
2、 當頻率等于自諧振頻率(SRF)時,電感感抗達到最大值;
3、 當頻率高于自諧振頻率(SRF)時,電感感抗隨頻率增加而減小;
電感的應用場景
1、 當電感作為扼流電感(扼流圈/扼流器)使用時(如射頻放大器輸出端的直流供電電感),應該讓信號的最高頻率在電感自諧振頻率處,考慮電感誤差,電感自諧振頻率應略大于信號最高頻率。
2、 其他應用(濾波器和匹配):電感值(inductance)在信號帶寬內應盡可能的恒定,因此,電感的自諧振頻率(SRF)取信號最大頻率的10倍(CoilCraft建議的經驗值)。
電感值(inductance)與自諧振頻率(SRF)的關系
通常來講,由于寄生電容的影響,電感值(inductance)越大,自諧振頻率(SRF)越低,反之亦然。